通知公告
当前位置: 部门首页 · 通知公告 · 正文
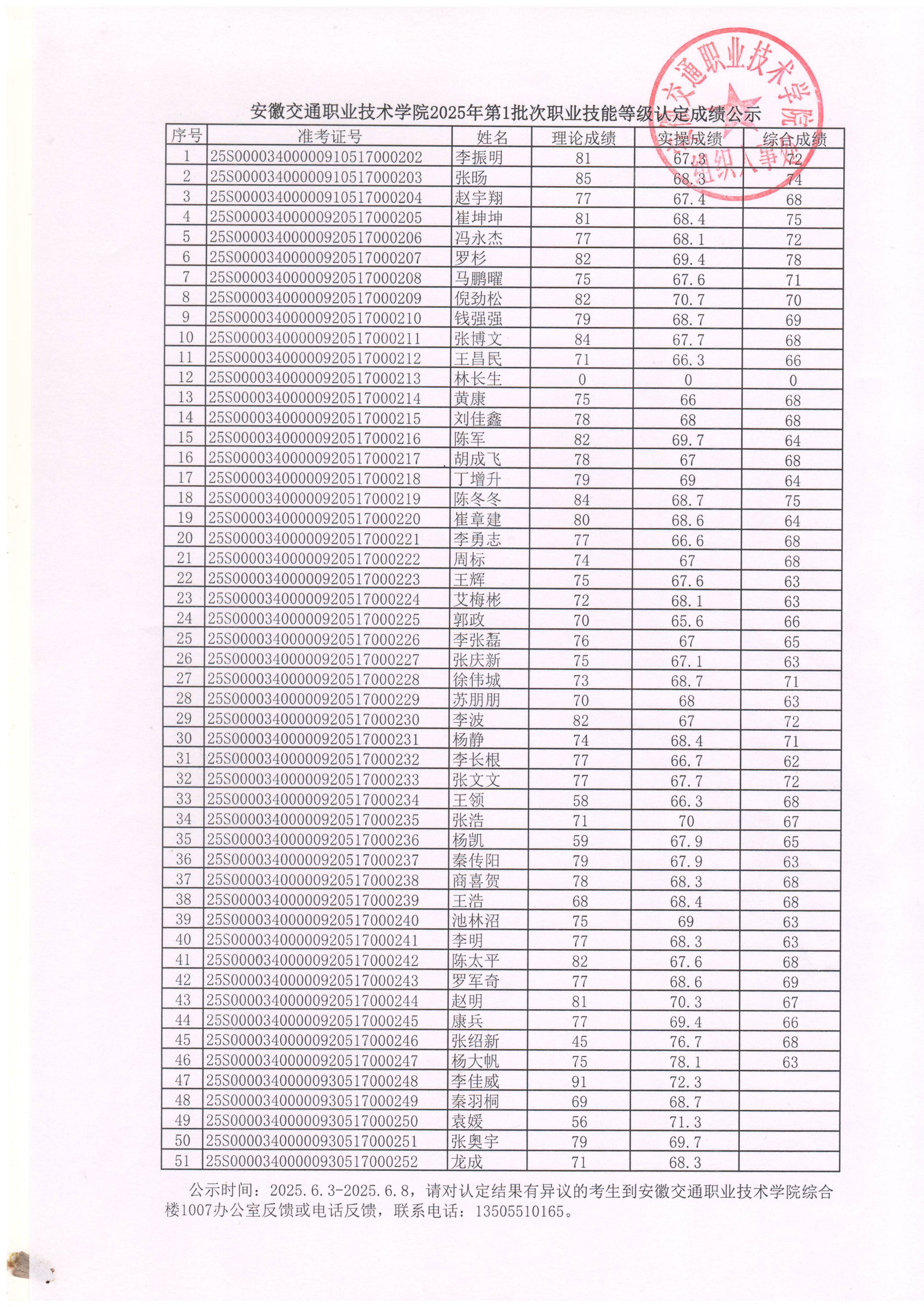
米兰milan官方网站2025年第1批次职业技能等级认定成绩公示
日期:2025-06-04 信息来源: 点击数:



copyright@2024 米兰milan官方网站 anhui all rights reserved

学院地址:寿县安徽新桥国际产业园寿州大道16号  邮编:230051

办公电话:0551-63416996